阿摩線上測驗 登入

申論題資訊

試卷:114年 - 114 高等考試_二級_水利工程:高等流體力學#131611
科目:高等流體力學
年份:114年
排序:0

題組內容

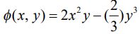
一、二維非黏性、不可壓縮水流的流場速度勢(velocity potential)為

其中ϕ的單位為m2/s ,x 和 y 的單位為 m。

申論題內容

 (一)請證明此速度勢函數滿足連續方程式(continuity equation) ,且為非旋性流場(irrotational flow)。