阿摩線上測驗
登入
首頁
>
主題課程專用
>
無年度 - 主題課程_理工學院機率論:多元隨機變數#107950
> 申論題
題組內容
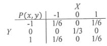
(10分)兩個離散隨機變數(discreterandom variables)X與Y的聯合機率質量函數 (joint probability mass function)如下表。
(一)求X的邊際機率質量函數(marginal probability massfunction)P
x
(x)。(5分)
相關申論題
(二)求條件機率(conditional probability)(0|0)= P(X=0|Y=0)(5分)
#462890
Problem 7. (2.5 %) Consider two random variables X and Y, each taking val- ues in {1,2,3}. Let their joint PMF be such that for any 1 ≤ x, y ≤ 3,Then, (i) X and Y can be independent or dependent depending upon the strictly positive values(ii) X and Y are always independent(iii) X and Y can never be independent
#462891
Problem 6. (2.5 %) Suppose X, Y and Z are three independent discrete ran- dom variables. Then X and Y + Z are (i) always (ii) sometimes (iii) never independent.
#462892
Problem 14. (2.5 %) Let X and Y be two continuous random variables. Then, (i) E[XY] = E[X]E[Y] (ii) E(X2 + Y2] = E[X2] + E[Y2] (iii)fx+x(x+y)=f.x(x).fr(y) (iv) var(X+Y)=war(X)+var(Y)
#462893
Problem 15. (2.5 %) Suppose X is uniformly distributed over [0,4] and Y is uniformly distributed over [0,1]. Assume X and Y are independent. Let Z = X + Y. Then (i) fz(4.5)=0 (ii) fz(4.5)=1/8 (iii) fz(4.5) =1/4 (iv) fz(4.5)=1/2
#462894
(10%) First a point Y is selected at random from the interval (0, 1). Then another point X is selected at random from the interval (Y, 1). Find the probability density function of X.
#462895
(a) (3%) Find the marginal probability distribution function of Y, i.e. fy (y).
#462896
(b) (3%) Find the mean of Y.
#462897
(c) (4%) Find the variance of Y.
#462898
(a) (4%) Find fx(x).
#462899
相關試卷
無年度 - 主題課程_向量空間:秩(rank)、零度(nullity)、維度#108952
#108952
無年度 - 主題課程_向量空間:基底和維度#108872
#108872
無年度 - 主題課程_理工學院機率論:古典機率論#108850
#108850
無年度 - 主題課程_向量空間:線性獨立和線性相依#108250
#108250
無年度 - 主題課程_理工學院機率論:機率分配(離散型、連續型)#107979
#107979
無年度 - 主題課程_向量空間:向量空間和子空間#107951
#107951
無年度 - 主題課程_理工學院機率論:多元隨機變數#107950
#107950
無年度 - 主題課程_理工學院機率論:單一隨機變數#107935
#107935
無年度 - 主題課程_行列式和線性方程式:線性方程式#107934
#107934
無年度 - 主題課程_線性映射:基底變換和座標變換#107933
#107933