阿摩線上測驗 登入

申論題資訊

試卷:111年 - 111 高等考試_三級_機械工程:自動控制#109776
科目:自動控制學
年份:111年
排序:0

題組內容

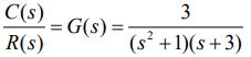
一、對於一轉移函數, 62da175a44a60.jpg

申論題內容

(一)當輸入 r (t ) 為單位脈衝函數,試推導其輸出 c(t ) 之時間函數,並說明該輸出為何會振個不停。