題組內容
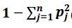
一、決策樹(Decision Tree)是一個常用於解決分類(Classification)問題的方法,【表 1】所列之收入、 年齡、信用為資料的屬性,而每一個屬性都有二種可能的值,分別為 l(low)與 h(high),而類別標籤則代表資料的類別,可以是T(True) 或是 F (False)。請建立【表1】的決策樹,並利用
(gini index, CART 演算法所使用)作為屬性選擇的根據,在公式中 n 代表資料類別的個數,代表類別Pj 在資料集中出現的頻率,請回答下列問題(需寫出運算過程)。