題組內容
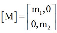
二、一 2 層樓平面構架簡化為一 2-DOF 結構系統,如下圖所示。
其質量矩陣
( KN-sec 2 /m ),勁度矩陣 [ K ]=
( KN/m)
假設: m1= m2 =100(KN-sec 2 /m) , k1= k2=1500(KN/m) ,求此結構之:
(三)各模態之貢獻參與係數(modal participation factor) (Γi ) 。(5 分)
二、一 2 層樓平面構架簡化為一 2-DOF 結構系統,如下圖所示。
其質量矩陣
( KN-sec 2 /m ),勁度矩陣 [ K ]=
( KN/m)
假設: m1= m2 =100(KN-sec 2 /m) , k1= k2=1500(KN/m) ,求此結構之:
(三)各模態之貢獻參與係數(modal participation factor) (Γi ) 。(5 分)