題組內容
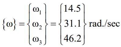
三、一 3 層樓之平面構架,簡化為 3-DOF 之結構系統分析,若各振態頻率:
假設第一及第三振態阻尼比: ζ1 = ζ 3=0.05 ,若採用 Rayleigh Damping:
[c] = a 0 [M] + a1[K] 求:
(二)第二振態之阻尼比 ζ 2 = ?(10 分)
三、一 3 層樓之平面構架,簡化為 3-DOF 之結構系統分析,若各振態頻率:
假設第一及第三振態阻尼比: ζ1 = ζ 3=0.05 ,若採用 Rayleigh Damping:
[c] = a 0 [M] + a1[K] 求:
(二)第二振態之阻尼比 ζ 2 = ?(10 分)