阿摩線上測驗 登入

申論題資訊

試卷:111年 - 111 專技高考_化學工程技師:化工熱力學#111969
科目:技師◆化工熱力學
年份:111年
排序:0

題組內容

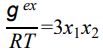
三、某雙成分液體在溫度 T 下的無量綱(dimensionless)過量比吉布斯混合自由能(molar excess Gibbs free energy of mixing)
637daa8fed5ed.jpg
求成分 1 莫爾分率為 0.5 時的無量綱:

申論題內容

(三)比吉布斯混合自由能對莫爾分率 x1一次微分。