阿摩線上測驗
登入
首頁
>
技師◆化工熱力學
>
111年 - 111 專技高考_化學工程技師:化工熱力學#111969
> 申論題
題組內容
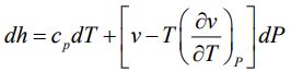
二、在小壓力和溫度範圍內,流體的變化方程式可以寫成
P 為壓力,T 為溫度,v 為莫爾體積,B 是常數。焓的變化方程式為
為莫爾恆壓比熱(molar isobaric heat capacity):
(二)大部分氣體分子之間有吸引力,請問:焦耳-湯姆遜係數為正或負?常數為正或負?
相關申論題
(一)比焓增加、減少、不變?
#479748
(二)溫度為多少?
#479749
(三)比熵增加、減少、不變?
#479750
(四)該減壓過程是否可逆?
#479751
(一)求流體的焦耳-湯姆遜(Joule-Thompson)係數 。
#479752
(一)過量比吉布斯混合自由能。
#479754
(二)吉布斯混合自由能。
#479755
(三)比吉布斯混合自由能對莫爾分率 x1一次微分。
#479756
(四)比吉布斯混合自由能對莫爾分率 x1二次微分。
#479757
(五)成分 1 莫爾分率為 0.5 時該流體是否會分相?
#479758
相關試卷
114年 - 114 專技高考_化學工程技師:化工熱力學#133634
114年 · #133634
113年 - 113 專技高考_化學工程技師:化工熱力學#123950
113年 · #123950
112年 - 112 專技高考_化學工程技師:化工熱力學#117618
112年 · #117618
111年 - 111 專技高考_化學工程技師:化工熱力學#111969
111年 · #111969
111年 - 111 高等考試_二級_化學工程:高等化工熱力學#110966
111年 · #110966
110年 - 110 專技高考_化學工程技師:化工熱力學#104162
110年 · #104162
109年 - 109 專技高考_化學工程技師:化工熱力學#93195
109年 · #93195
108年 - 108 專技高考_化學工程技師:化工熱力學#80730
108年 · #80730
107年 - 107 專技高考_化學工程技師:化工熱力學#72934
107年 · #72934
106年 - 106 專技高考_化學工程技師:化工熱力學#66577
106年 · #66577