題組內容
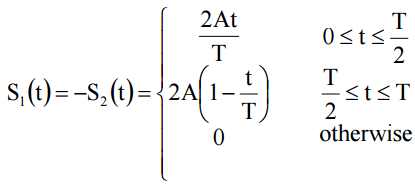
三、Binary antipodal signal 輸入訊號如下:

考量通道為 AWGN,其 PSD 為 ![]()
,訊號經過匹配濾波器h(t),S1(t) 與S2(t) 的事前機率
分別為P1與1− P1,試求:
,訊號經過匹配濾波器h(t),S1(t) 與S2(t) 的事前機率
分別為P1與1− P1,試求:
,訊號經過匹配濾波器h(t),S1(t) 與S2(t) 的事前機率
分別為P1與1− P1,試求: