阿摩線上測驗
登入
首頁
>
國營事業◆單元操作
>
97年 - 97 經濟部所屬事業機構_新進職員甄試試題_化工製程:單元操作#38227
> 申論題
題組內容
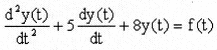
三、考慮一系統可以如下之微分方程式所表示:
(二)假如f(t) = 4t,試以Laplace轉換法解出y(t) (10分)?
相關申論題
(一)緣製Venturi meter與Pitot tube之簡圖(4分)
#112057
(二)簡述其測量流體流速之原理(4 分)
#112058
(三)比較其異、同(2分)?
#112059
請(一)畫出窯壁中所使用磚材之排列簡圖 (5分)
#112060
(二)計算出所需之最小窯壁厚度(10分)
#112061
(三)實際熱損失量(5分)?
#112062
(一)此系統為過阻尼(overdamped)、低阻尼(underdamped)、還是臨界阻尼( critically damped) (10 分)?
#112063
(一)蒸餾(distillation) (3 分)
#112065
(二)液相萃取(liquid extraction) (3 分)
#112066
(三)氣體吸收(gas absorption) (2 分)
#112067
相關試卷
113年 - 113 臺灣菸酒股份有限公司_從業職員及從業評價職位人員甄試試題_從業職員_化工(中區)_專業科目 3:單元操作#137392
113年 · #137392
112年 - 112 臺灣菸酒股份有限公司從業職員及從業評價職位人員甄試_從業職員/化工:單元操作#137456
112年 · #137456
111年 - 111 臺灣菸酒股份有限公司_從業職員及從業評價職位人員甄試試題_從業職員/化工 (中區 ) 、化工 (南一區 )、 化工 (東區 ):單元操作#137495
111年 · #137495
110年 - 110 臺灣菸酒股份有限公司_從業職員及從業評價職位人員甄試試題_從業職員/化工:單元操作#111428
110年 · #111428
109年 - 109 臺灣菸酒股份有限公司從業職員及從業評價職位人員甄試:單元操作#89138
109年 · #89138
108年 - 108年 臺酒 從業及從業評價 單元操作#74383
108年 · #74383
107年 - 107 臺灣菸酒股份有限公司_從業職員及從業評價職位人員甄試_從業職員-農化 化工:單元操作#72791
107年 · #72791
104年 - 104 臺灣菸酒股份有限公司從業職員及從業評價職位人員甄試試題_從業職員/農化、化工_專業科目 3:單元操作#107085
104年 · #107085
97年 - 97 經濟部所屬事業機構_新進職員甄試試題_化工製程:單元操作#38227
97年 · #38227