阿摩線上測驗
登入
首頁
>
二、三等◆經濟學(研究)
>
111年 - 111 地方政府特種考試_三等_勞工行政、財稅行政、統計、經建行政、商業行政:經濟學#112578
> 申論題
申論題
試卷:111年 - 111 地方政府特種考試_三等_勞工行政、財稅行政、統計、經建行政、商業行政:經濟學#112578
科目:二、三等◆經濟學(研究)
年份:111年
排序:0
申論題資訊
試卷:
111年 - 111 地方政府特種考試_三等_勞工行政、財稅行政、統計、經建行政、商業行政:經濟學#112578
科目:
二、三等◆經濟學(研究)
年份:
111年
排序:
0
題組內容
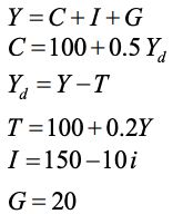
二、考慮下列封閉的凱因斯模型:
其中
i
為實質利率,
Y
為實質產出水準,
Y
d
為可支配所得,
C
為消費量,
T
為總稅收,
G
為政府支出,
I
為投資數量。
(一)給定以上模型,求出儲蓄函數。另外,在實質利率
i
=1下,使商品市場均衡的實質產出水準為何?
申論題內容
(二)給定以上模型及實質利率
i
=1,且充分就業所得水準為
Y
f
=500。請問此經濟體系具有膨脹性缺口(inflationary gap)或緊縮性缺口(deflationary gap)?若政府想以調整政府支出來消除此缺口,則應該增加或減少多少政府支出?