所屬科目:二、三等◆經濟學(研究)
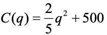
(二)假設X物品的市場中只有一個追求利潤最大的獨占廠商,且它面對(一)小題的市場需求曲線及擁有總成本函數,其中q為獨占廠商的產量。求出此獨占廠商的最適產量、最適價格、均衡利潤及在最適價量下所造成的社會無謂損失(deadweight loss)。
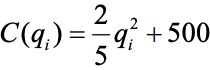
(三)假設X物品的市場中有兩個追求利潤最大的雙占廠商。他們共同面對(一)小題的市場需求曲線,且擁有相同的成本函數,其中qi為第i,i=1,2,家廠商的產量。求出雙占廠商的最適產量、最適 商品價格及均衡利潤。