阿摩線上測驗
登入
首頁
>
生物統計學
>
103年 - 103 普通考試_海洋資源:生物統計學概要#31360
> 申論題
申論題
試卷:103年 - 103 普通考試_海洋資源:生物統計學概要#31360
科目:生物統計學
年份:103年
排序:0
申論題資訊
試卷:
103年 - 103 普通考試_海洋資源:生物統計學概要#31360
科目:
生物統計學
年份:
103年
排序:
0
題組內容
一、某研究人員為瞭解綠烏龜背殼長度是否有變化,共收集 12 隻綠烏龜,並測量其背 殼長度(公分),得到下列資料: 120, 98, 93, 115, 105, 95, 98, 109, 112, 92, 123, 102
申論題內容
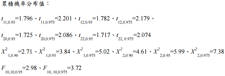
(二)請計算此平均值的 95%信賴區間。(5 分)