題組內容
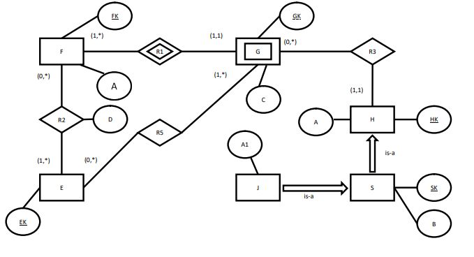
二、下圖是某實體關係圖(Entity-Relationship Diagram),其中每一實體(矩形)或弱實體(雙矩形)鄰近某關係(菱形)間均有一對(min,max)的限制,代表該實體參與該關係之 min(至少)、max(至多)次數限制,*代表沒有限制。屬性劃實底線者(如 FK)為 Primary Key(主鍵)的一部分、劃虛底線者(如 GK)為 Partial Key。箭頭 is-a 代表某實體(如 S)為另一實體(如 H)的特殊化(Specialization) 。請在同時兼顧日後運作效率與語意正確的原則,寫出其對應的關聯(Relation)式資料庫綱要(Schema):