阿摩線上測驗
登入
首頁
>
高等經濟理論(包括個體經濟與總體經濟學)
>
113年 - 113 高等考試_二級_經建行政(一般組):高等經濟理論(包括個體經濟與總體經濟學)#123054
> 申論題
題組內容
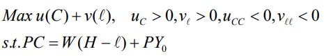
一、若民眾的消費休閒決策問題可以表示如下:
其中 u 和 v 為定義良好的效用函數、C =消費,
=休閒, P =價格,W =名 目工資,Y
0
=非勞動所得, H = 總時間。試問
(1)民眾最適的消費休閒決策為何?
相關申論題
(2)若實質工資上升,則民眾工作時間可能產生何種改變?(25 分)
#523505
二、假設化工廠商投資回收設備以利改善環境品質,且環保機關量測此回收設備的市場訊息如下:MB = 400 - 2Q MEB = 400 - Q MC = 100 + Q MEC = 0 式中,Q為產量,MB 與 MC 分別為廠商生產的邊際利益與邊際成本, MEB 與 MEC 分別為生產的邊際外部利益與邊際外部成本。試問如果你是環保機關的顧問,你會建議主管機關採取什麼樣的政策來達到社會效率最適的狀況?(25 分)
#523506
三、日本每年春季都會舉行「春鬥」 ,工會和資方進行薪資談判。請設計一個分析模型討論這個現象,據此分析勞資雙方達成工資協議後,對於政府 財政政策效果可能造成的影響。(25 分)
#523507
四、引進預期(expectation)的 Phillips curve 可表示如下:其中 π =通貨膨脹率, =預期通貨膨脹率, u = 失業率, = 自然失業率,β是大於 0 的參數。據此討論,靜態預期(static expectation)下的 Phillips curve 有何特質?調適性預期(adaptive expectation)的假設下的長期 Phillips curve 又有何種特質?請詳細說明。(25 分)
#523508
(二)造成氣候變遷的原因為何?有何可解決方案與可能面臨的問題?
#475832
(一)動物尤其是稀有動物為何會瀕臨滅絕?如何可有效保護稀有動物?
#475831
(三)黃金法則(golden rule)的人均資本存量與儲蓄率各為何?如何解讀該 國目前的儲蓄行為?
#475830
(二)該國的長期恆定均衡(steady state)的人均資本存量和人均產出的成長 率各為何?其他情況不變下,預測明年的經濟成長率會上升或下降? 為什麼?
#475829
(一)若該國的人均資本存量為 9,則該國的人均資本存量(K/L)和人均所 得(Y/L)成長率為何?
#475828
(三)長期而言,貨幣政策的目標通貨膨脹率是否可以維持?若為打擊高通 膨應採何種目標利率的貨幣政策,政策效果為何?
#475827
相關試卷
113年 - 113 高等考試_二級_經建行政(一般組):高等經濟理論(包括個體經濟與總體經濟學)#123054
113年 · #123054
111年 - 111 高等考試_二級_經建行政(一般組):高等經濟理論(包括個體經濟與總體經濟學)#111015
111年 · #111015
110年 - 110 高等考試_二級_經建行政(一般組):高等經濟理論(包括個體經濟與總體經濟學)#101930
110年 · #101930
107年 - 107 高考二級 高等經濟理論(包括個體經濟與總體經濟學)#72433
107年 · #72433
103年 - 103年高考二級高等經濟理論(包括個體經濟與總體經濟學)#43264
103年 · #43264