阿摩線上測驗
登入
首頁
>
【段考】高一數學
>
97年 - 97下1高一數學 - 臺北市國立師大附中97 下學期高一數學第一次段考(期中考)#55445
>
題組內容
四.計算題(共 9 分)
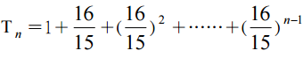
1.設
(1)求
的值 ( 2 分)
其他申論題
8.設 ≤x 1 ≤ 0,函數 y=x1-log x 的最大值為 a ,最小值為 b,則數對( a , b )= __________ (8)
#208610
9.若方程式 有兩相異實根,求 m 的範圍 _________ (9)
#208611
10.從冰箱拿出一盆攝氏 0 °C 的水,若在室溫 25° C 的環境下,其 t 分鐘後的水溫經測量為攝氏 , 但溫度計的顯示會自動把整數以下的部份四捨五入,則取出冰箱 __________ (10)分鐘後(取整數),溫度計才會顯示水溫為25° C
#208612
11.設 為正整數 a ,已知滿足 20≤k≤29 的整數 k,均使得 ak 為(2k+3)位的數字,請利用後面的對數表求出 =__________ (11)
#208613
(2)求 T500 (請利用後面的對數表,將答案以科學記號 a ×10n 表示,其中 1 ≤ a<10,a精確至小數點後第四位,以下四 500 捨五入,n∈Z) ( 4 分)
#208615
(3)滿足 Tn >2985,求最小自然數 (3 分)
#208616
沒有 【段考】高二數學下學期 權限,請先開通.
#208631
沒有 【段考】高二數學下學期 權限,請先開通.
#208632
沒有 【段考】高二數學下學期 權限,請先開通.
#208633
沒有 【段考】高二數學下學期 權限,請先開通.
#208634