阿摩線上測驗
登入
首頁
>
【段考】高一數學
> 97年 - 97下1高一數學 - 臺北市國立師大附中97 下學期高一數學第一次段考(期中考)#55445
97年 - 97下1高一數學 - 臺北市國立師大附中97 下學期高一數學第一次段考(期中考)#55445
科目:
【段考】高一數學 |
年份:
97年 |
選擇題數:
7 |
申論題數:
14
試卷資訊
所屬科目:
【段考】高一數學
選擇題 (7)
沒有 【段考】高一數學下學期 權限,請先開通.
沒有 【段考】高一數學下學期 權限,請先開通.
沒有 【段考】高一數學下學期 權限,請先開通.
沒有 【段考】高一數學下學期 權限,請先開通.
沒有 【段考】高一數學下學期 權限,請先開通.
沒有 【段考】高一數學下學期 權限,請先開通.
沒有 【段考】高一數學下學期 權限,請先開通.
申論題 (14)
三. 填充題(每格 5 分,共 55 分)
1.求(
= __________ (1)
2.求
= __________ (2)
3.不等式
的解為 __________ (3)
4.設
= __________ (4)
【已刪除】5.方程式
的解 x= __________ (5)
6.已知
4,試比較 a 、b、c、d、e 的大小 __________ (6)
7.坐標平面上,直線 x+y=6 與 y=2
x
、y=log
2
x 的圖形分別交於 A(x
1
, y
1
)、B(x
2
, y
2
)兩點,則 x
1
+ y
1
+x
2
+ x
2
= __________ (7)
8.設
≤x 1 ≤ 0,函數 y=x
1-log x
的最大值為 a ,最小值為 b,則數對( a , b )= __________ (8)
9.若方程式
有兩相異實根,求 m 的範圍 _________ (9)
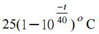
10.從冰箱拿出一盆攝氏 0 °C 的水,若在室溫 25° C 的環境下,其 t 分鐘後的水溫經測量為攝氏
, 但溫度計的顯示會自動把整數以下的部份四捨五入,則取出冰箱 __________ (10)分鐘後(取整數),溫度計才會顯示水溫為25° C
11.設 為正整數 a ,已知滿足 20≤k≤29 的整數 k,均使得 a
k
為(2k+3)位的數字,請利用後面的對數表求出 =__________ (11)
(1)求
的值 ( 2 分)
(2)求 T
500
(請利用後面的對數表,將答案以科學記號 a ×10
n
表示,其中 1 ≤ a<10,a精確至小數點後第四位,以下四 500 捨五入,n∈Z) ( 4 分)
(3)滿足 T
n
>2985,求最小自然數 (3 分)
相關試卷
110年 - 110-2-1 新民高中初階英文閱讀與寫作練習#108943
110年 · #108943
106年 - 多項式的問題#77274
106年 · #77274
104年 - 104下1高一數學 - 彰化縣縣立田中高中104 下學期高一數學第一次段考(期中考)#51349
104年 · #51349
104年 - 104下1高一數學 - 彰化縣縣立田中高中104 下學期高一數學第一次段考(期中考)#51305
104年 · #51305
104年 - 104上2高一數學 - 彰化縣縣立田中高中104 上學期高一數學第二次段考(期中考)#51295
104年 · #51295
104年 - 104上1高一數學 - 新北市市立三民高中104 上學期高一數學第一次段考(期中考)#51259
104年 · #51259
104年 - 104上2高一數學 - 新北市私立及人高中104 上學期高一數學第二次段考(期中考)#51122
104年 · #51122
104年 - 104上1高一數學 - 新北市私立及人高中104 上學期高一數學第一次段考(期中考)#51117
104年 · #51117
104年 - 台中一中 -104上期考1高一數學#51059
104年 · #51059
103年 - 北一女中第二學期第一次段考一年級數學科試題#79809
103年 · #79809