阿摩線上測驗
登入
首頁
>
研究所、轉學考(插大)-微積分
>
110年 - 110 國立中央大學_碩士班招生考試_應用地質研究所:微積分#104404
> 申論題
申論題
試卷:110年 - 110 國立中央大學_碩士班招生考試_應用地質研究所:微積分#104404
科目:研究所、轉學考(插大)-微積分
年份:110年
排序:0
申論題資訊
試卷:
110年 - 110 國立中央大學_碩士班招生考試_應用地質研究所:微積分#104404
科目:
研究所、轉學考(插大)-微積分
年份:
110年
排序:
0
題組內容
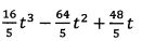
6.若一強震站觀測東西向地震加速度在地震期間(0~3秒)之歷線可用函數a(t)=
描述(東方為正),其中t為時間(移),a(t)為加速度函數(公尺/平方秒)。
申論題內容
(1)試計算地震期間平均速度與位移。