阿摩線上測驗
登入
首頁
>
輻射防護師◆游離輻射防護專業
>
114年 - 114-1 行政院原子能委員會_輻射防護師:游離輻射防護專業#126999
> 申論題
題組內容
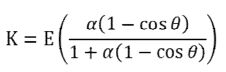
2. 光子和物質產生康普吞效應時,康普吞電子動能(K)和入射光子能量(E)之關係式如下, 試問:
(2)散射光子能量(E’)和入射光子能量(E)之關係式為何?
相關申論題
(1)請計算此計數器因為無感時間所損失的比率為多少%?
#541017
(2)請計算此計數器的計數效率為多少%?
#541018
(1) α 和 θ 代表的含意。
#541019
(3)當 E 為 511 keV 時,散射光子的最小能量為何?
#541021
3. 某水泥廠將報廢一顆鈷-60 密封射源,其活度剩 1 Ci,將其置於鉛罐進行貨車運送。鉛 罐中心距離司機的位置為 2 公尺,若司機位置的輻射劑量率須小於 0.02 R 時,請問 鉛罐厚度至少須幾公分? (鈷-60 曝露率常數為 13.2 R 鉛密度 11.3 g,鈷-60 光子的與鉛作用的質量衰減係數 0.0581 ,不考慮增建因數)
#541022
(1)兩光子束能通量的比率是多少?
#541023
(2)兩光子束通量的比率是多少?
#541024
5. (1)請詳細說明屏蔽快中子射束的各過程與其原理,並列出相對應之常用材料。
#541025
(2)快中子與人體軟組織作用的機制為何?
#541026
(3)熱中子與人體軟組織作用的機制中,哪一種機制中會釋出質子?
#541027
相關試卷
114年 - 114-2 行政院原子能委員會_輻射防護師:游離輻射防護專業#132414
114年 · #132414
114年 - 114-1 行政院原子能委員會_輻射防護師:游離輻射防護專業#126999
114年 · #126999
113年 - 113-2 行政院原子能委員會_輻射防護師:游離輻射防護專業#124951
113年 · #124951
113年 - 113-1 行政院原子能委員會_輻射防護師:游離輻射防護專業#122515
113年 · #122515
112年 - 112-2 行政院原子能委員會_輻射防護師:游離輻射防護專業#118668
112年 · #118668
112年 - 112-1 行政院原子能委員會_輻射防護師:游離輻射防護專業#114279
112年 · #114279
111年 - 111-2行政院原子能委員會_輻射防護師:游離輻射防護專業#111457
111年 · #111457
111年 - 111-1 行政院原子能委員會_輻射防護師:游離輻射防護專業#108401
111年 · #108401
110年 - 110-2 行政院原子能委員會_輻射防護師:游離輻射防護專業#103867
110年 · #103867
110年 - 110-1 行政院原子能委員會_輻射防護師:游離輻射防護專業#98729
110年 · #98729