阿摩線上測驗 登入

申論題資訊

試卷:98年 - 98 國立臺灣師範大學_學士班轉學生招生考試試題_物理系二年級:微積分#122285
科目:研究所、轉學考(插大)-微積分
年份:98年
排序:0

題組內容

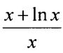
2.Let g(x) =66c6d4b71965e.jpg, x>0

申論題內容

(2) Find the minimum value of a such that g(x) is decreasing in the interval [a, ∞).