阿摩線上測驗
登入
首頁
>
台大◆企管◆微積分(C)
>
107年 - 107 國立臺灣大學_碩士班招生考試_國際企業研究所乙組:微積分(C)#114199
> 申論題
題組內容
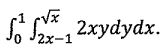
2.Consider the double integral
(2)Evaluate the double integral derived in (1).
相關申論題
1.A one-story storage building is to have a volume of 250,000 cubic feet. The roof costs $32 per square foot, the walls cost $10 per square foot, and the floor costs $8 per square foot. Find the dimensions that minimize the cost of the building.
#487986
(1)Rewrite the above double integral by exchanging the order of integration.
#487987
3.Find the least squares approximation h(x) = ax + ax2 for f(x) = e-x, 0 ≤ x ≤ 1. [Hint: Solve a by minimizing the integral of the squared difference between f(x) and h(x).]
#487989
(1)Set up and solve a linked pair of differential equations to determine respectively the amount of money in the savings account and stock fund t years from now.
#487990
(2)How long does it take for the savings account to be exhausted? How much money is in the stock fund at this time point?
#487991
5.If = 0, what are the values of r and s?
#487992
6.Find In sec 5x.
#487993
7.Evaluate the definite integral .
#487994
8.Find the area of an ellipse by using the parametric equations x = 5 cosθ, and y = 6 sinθ.
#487995
9.Find the interval of convetgence for the power series .
#487996
相關試卷
112年 - 112 國立臺灣大學_碩士班招生考試:微積分(C)#114173
112年 · #114173
110年 - 110 國立臺灣大學_碩士班招生考試_國際企業研究所乙組:微積分(C)#101835
110年 · #101835
109年 - 109 國立臺灣大學_碩士班招生考試_國際企業研究所:微積分(C)#106068
109年 · #106068
108年 - 108 國立臺灣大學_碩士班招生考試:微積分(C)#114100
108年 · #114100
107年 - 107 國立臺灣大學_碩士班招生考試_國際企業研究所乙組:微積分(C)#114199
107年 · #114199
106年 - 106 年 - 106 國立臺灣大學_碩士班招生考試_國際企業研究所乙組:微積分(C)#114292
106年 · #114292
105年 - 105 年 - 105 國立臺灣大學_碩士班招生考試_國際企業研究所乙組:微積分(C)#114296
105年 · #114296
104年 - 104 國立臺灣大學_碩士班招生考試:微積分(C)#118498
104年 · #118498
102年 - 102國立臺灣大學_碩士班招生考試_國際企業研究所乙組:微積分(C)#118500
102年 · #118500