所屬科目:台大◆企管◆微積分(C)
(a) (10%) Derive and express as the form of AN(B). What are A and B?
(b) (10%) Derive and express the form of Cn(D) + EN(D) + FN(G). What are C, D, E, F, and G?
2. (10%) Consider that X follows a zero-mean normal distribution, i.e., X~ND(0,σ2). Evaluate the expectation E[Xecx], where c is a constant real number. (Hint: The probability density function for
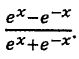
(a) (10%) Evaluate .
(b) (10%) Evaluate.
(Hint: For N, the probability of observing k events is given by P(k events occurring) =)
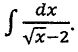
4. (10%) Evaluate the integraldx.
5. (10%) Perform the integration
7. (10%) Find the derivative of y with respect to x in the function y =