題組內容

28. 請繪製      凸透鏡成虛像      的光路圖

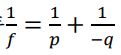
(3) 證明此時(p、q、f 均大於 0)