阿摩線上測驗
登入
首頁
>
研究所、轉學考(插大)◆作業研究
>
110年 - 110 國立臺灣科技大學_碩士班招生試題_工業工程學研究所系統工程組:作業研究#100721
> 申論題
題組內容
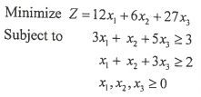
1. Consider the following linear program.
(3) Solve the dual problem by using the complementary slackness theorem. (10%)
相關申論題
(1) Solve the problem by the revised simplex method. (10%)
#421734
(2) Construct the dual problem for this primal problem. (10%)
#421735
(1) Verify that (u, v) is dual feasible. (10%)
#421737
(2) Assuming that (u, v) is an optimal dual solution, find an optimal solution of the primal transportation problem using this information. (10%)
#421738
(a) Formulate the evolution of the status of the machine as a Markov chain by identifying three possible states at the end of each day, and then constructing the (one-step) transition matrix.(10%)
#421739
(b) Find the expected first passage time for all states. Use these results to identify the expected number of full days that the machine will remain operational before the next breakdown after a repair is completed. (10%)
#421740
(a) On the average, how many painted cars without completely installed engines will be in the facility? (10%)
#421741
(b) On the average, how long will a painted car have to wait before installation of its engine begins? (10%)
#421742
5. A wilderness hiker must pack three items: food, first-aid kits, and clothes. The backpack has a capacity of 3 ft3. Each unit of food takes 1 ft3. A first-aid kit occupies 1/4 ft3, and each piece of cloth takes about 1/2 ft3. The hiker assigns the priority weights 3, 4, and 5 to food, first aid, and clothes, respectively, which means that clothes are the most valuable of the three items. From experience, the hiker must take at least one unit of each item and no more than two first-aid kits. How many of each item should the hiker take? (10%)
#421743
(b) Consider a two-server system in which customer inter-arrival times are exponentially distributed with rate λ at server 1. After being served by server 1, customers then join the queue for server 2. We assume that there is infinite waiting space at both servers. Each server serves one customer at a time with server i taking an exponential time with rate μi for a service, i = 1,2. To analyze this system, we need to keep track of the number of customers at server 1 and the number of customers at server 2. Let define the state by pair (n,m)- meaning that there are n customers at server 1 and m customers at server 2 and denote the probability of being in that state. (b-1) (10 points) What are the balance equations for this system? (b-2) (S points) If the number of customers at server 1 and server 2 were independent random variables, what would be the expression for ? (b-3) (S points) Verify that your solution satisfies the balance equations from (b-1).
#450527
相關試卷
110年 - 110 國立中央大學_碩士班招生考試_工業管理研究所/不分組(一般生):作業研究#105796
110年 · #105796
110年 - 110 國立臺灣大學_碩士班招生考試_工業工程學研究所系統工程組:作業研究#101830
110年 · #101830
110年 - 110 國立臺灣科技大學_碩士班招生試題_工業工程學研究所系統工程組:作業研究#100721
110年 · #100721