阿摩線上測驗
登入
首頁
>
研究所、轉學考(插大)-微積分
>
106年 - 105 台灣綜合大學系統學士班轉學生聯合招生試題:微積分A#97827
> 申論題
申論題
試卷:106年 - 105 台灣綜合大學系統學士班轉學生聯合招生試題:微積分A#97827
科目:研究所、轉學考(插大)-微積分
年份:106年
排序:0
申論題資訊
試卷:
106年 - 105 台灣綜合大學系統學士班轉學生聯合招生試題:微積分A#97827
科目:
研究所、轉學考(插大)-微積分
年份:
106年
排序:
0
題組內容
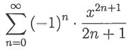
3. Find the interval =___(5)___ of convergence of the power series
, and its sum =___(6)____
申論題內容
(6)