所屬科目:研究所、轉學考(插大)-微積分
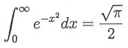
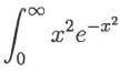
計算與證明題: 5. Evaluate dx from the known integal
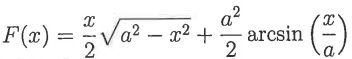
6. Show that , a>0 is an anti- derivative for
7. Let z = where x = cos t, y =tan t. Use the chain rule to find the value of when t = 0.
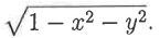
9. Find the area of surface ds over the hemisphere z =
10. Find the volume of the solid bounded above by the cone and below by the disk R:x2+(y-1)2 ≦ 1.