阿摩線上測驗 登入

申論題資訊

試卷:106年 - 105 台灣綜合大學系統學士班轉學生聯合招生試題:微積分A#97827
科目:研究所、轉學考(插大)-微積分
年份:106年
排序:0

題組內容

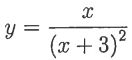
4. The graph of the equation 606e9bb03e48b.jpg is strictly inceasing on the interal= ___(7)___and concave upward on the interval=___(8)___

申論題內容

(8)