阿摩線上測驗
登入
首頁
>
研究所、轉學考(插大)-微積分
>
96年 - 96 淡江大學 轉學考 機率與微積分#55984
> 申論題
題組內容
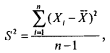
4.
(a) Find the mean and variance of S
2
.(10%)
相關申論題
(b) Show that S2 converges in probability to σ2 ,(10%)
#212262
5. Find the equation for the tangent at the point (2,-1) for x2-xy + y2=7.(8%)
#212263
6. Suppose f'(x) = cos2 2x,f(2π) = π,find the function f(x) .(8%)
#212264
10. Let D be the region in zy-plane bounded by x2 = y, x2 = 3y, y2=x,y2=3x . Use the transformation to evaluate the double integral.
#564648
9. Use the method of Lagrange multiplier to find the shortest and longest distance from the origin to curve 9x2 + 16xy +21y2 = 125.
#564647
8. Let C be the curve of intersection of surfaces xy + yz +zx = -14 and x2+y2+z2=29.The tangent line of curve C at point (2,3, -4) is given by= z + 4. Findthe values of a, b.
#564646
7. Given polar curve r =. Find the slope of tangent line of curve at Also find the arc length of curve for 0 ≤θ≤
#564645
6. Given function f(x) = . Find the higher derivative.
#564644
5. Evaluate the definite integral. (3 + tan θ sec θ)2 dθ
#564643
4. Evaluate the limit.
#564642
相關試卷
114年 - 114 臺灣綜合大學系統_學士班轉學生考試試題:微積分A#137897
114年 · #137897
114年 - 114 臺灣綜合大學系統_學士班轉學生考試試題:微積分B#137819
114年 · #137819
114年 - 114 台灣聯合大學系統_學士班轉學生考試試題:微積分#137762
114年 · #137762
114年 - 114 台灣聯合大學系統_學士班轉學生考試試題:微積分#137761
114年 · #137761
114年 - 114 國立臺灣大學_轉學生招生考試_物理學系/土木工程學系/生物環境系統工程學系/生物機電工程學系:微積分(B)#137745
114年 · #137745
114年 - 114 國立臺灣大學_轉學生招生考試_數學系:微積分(A)#137744
114年 · #137744
113年 - 113 國立嘉義大學_轉學生招生考試試題_(全校):微積分#122986
113年 · #122986
112年 - 112 國立臺灣大學_碩士班招生考試題:微積分(D)#130254
112年 · #130254
112年 - 112 國立陽明交通大學_碩士班入學招生試題_統計學研究所﹕微積分與線性代數#130252
112年 · #130252
112年 - 112 國立嘉義大學_轉學生招生考試試題:微積分#123297
112年 · #123297