題組內容
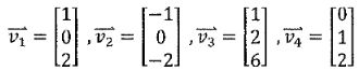
2. (8 points) The following vectors
span a subspace Y of R3, but not a basis for V, Answer the following questions.
(a) (4 points) Choose a subset of
which forms a basis for V.
2. (8 points) The following vectors
span a subspace Y of R3, but not a basis for V, Answer the following questions.
(a) (4 points) Choose a subset of
which forms a basis for V.