題組內容
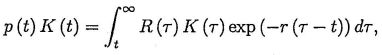
3. In capital theory, one principle for the determining of the correct price of the firm's
capital is given by the equation:
where K (t) denotes the capital stock of some firm at time t, p (t) denotes the price per
unit of capital, R(t) denotes the rental price per unit of capital, and r is the constant
interest rate. That is, the current cost of capital should equal the discounted present
value of the returns from lending it.
(a) Eric would like to find an expression for R(t) by differentiating the equation
with respect to t. Take the derivative of the left hand side:
