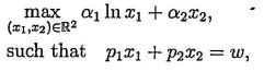
(a) Crystal lives only with two goods, coffee (x1) and chocolate (x2). Suppose that Crystal has the following quasi-linear utility function:
u (x1,x2) = α1lh x1 + α2x2.
Each day, Crystal spends w dollars on coffee and chocolate. Suppose that the prices of coffee and chocolate are respectively pi and pz. 'That is, the budget constraint of Crystal can be written as:
p1x1+p2x2 = w.
Suppose that there is an inner solution. Derive x1 (p1, p2, w) and x2 (p1, p2, w), the demand functions of coffee and chocolate of Crystal. That is, solve the following problem:

and write x1 and x2 as functions of p1, p2, and I.