阿摩線上測驗
登入
首頁
>
研究所、轉學考(插大)-微積分
>
104年 - 104 國立臺北大學學士班暨進修學士班轉學生招生考試_統計學系學士班暨進修學士班三年級:微積分#116790
> 申論題
申論題
試卷:104年 - 104 國立臺北大學學士班暨進修學士班轉學生招生考試_統計學系學士班暨進修學士班三年級:微積分#116790
科目:研究所、轉學考(插大)-微積分
年份:104年
排序:0
申論題資訊
試卷:
104年 - 104 國立臺北大學學士班暨進修學士班轉學生招生考試_統計學系學士班暨進修學士班三年級:微積分#116790
科目:
研究所、轉學考(插大)-微積分
年份:
104年
排序:
0
題組內容
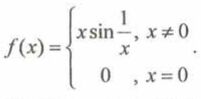
3. Let
申論題內容
(b)(12%) Find f'(x) and evaluate f'(0)..