題組內容
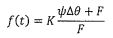
6.計算入滲率f(t)的Green Ampt eqution:
其中K為土壤水力傳導係數,
為土壤張力,△θ為士壤最大有效含水量與初始有效含水量的差值,F為累積入滲量
(b)假設土地利用為未受人為活動干擾的草地,試簡述K與△θ值的大小如何影響 SCSMethod 中的CN值的大小,較高的K會對應到較高還是低的CN值?較 低的△θ值會對應到較高還是低的CN值?為何?(10%)
6.計算入滲率f(t)的Green Ampt eqution:
其中K為土壤水力傳導係數,
為土壤張力,△θ為士壤最大有效含水量與初始有效含水量的差值,F為累積入滲量
(b)假設土地利用為未受人為活動干擾的草地,試簡述K與△θ值的大小如何影響 SCSMethod 中的CN值的大小,較高的K會對應到較高還是低的CN值?較 低的△θ值會對應到較高還是低的CN值?為何?(10%)