阿摩線上測驗
登入
首頁
>
研究所、轉學考(插大)-微積分
>
108年 - 108 國立臺北大學日間學士班轉學生招生考試_統計學系日間學士班二年級:微積分#116784
> 申論題
題組內容
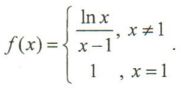
2. Let
(b) (8%) Show that f is differentiable at 1.
相關申論題
(a) (10%) If f(1)=18 is a relative maximum and f(-3)= -14 is a relative of minimum f, please find f(x).
#499001
(b) ( 5%) Find the value of k so that (k, f(k))is a point of inflection of f(x).
#499002
(a) (7%) Show that f is continuous at 1.
#499003
(a)(6%) Let . Find ,where x>0.
#499005
(b) (7%)Let f(x)=x3+x+1. Find (f-1)'(3).
#499006
(c) (7%) Find
#499007
(a) (5%) Find the level curve of f(x,y)=0.
#499008
(b) (7%) Find ∇f(1,-2), the gradient of f(x,y) at(1,-2).
#499009
(c) (8%) Show that fxx(x,y)+fyy(x,y)=0.
#499010
(a)(8%)
#499011
相關試卷
114年 - 114 臺灣綜合大學系統_學士班轉學生考試試題:微積分A#137897
114年 · #137897
114年 - 114 臺灣綜合大學系統_學士班轉學生考試試題:微積分B#137819
114年 · #137819
114年 - 114 台灣聯合大學系統_學士班轉學生考試試題:微積分#137762
114年 · #137762
114年 - 114 台灣聯合大學系統_學士班轉學生考試試題:微積分#137761
114年 · #137761
114年 - 114 國立臺灣大學_轉學生招生考試_物理學系/土木工程學系/生物環境系統工程學系/生物機電工程學系:微積分(B)#137745
114年 · #137745
114年 - 114 國立臺灣大學_轉學生招生考試_數學系:微積分(A)#137744
114年 · #137744
113年 - 113 國立嘉義大學_轉學生招生考試試題_(全校):微積分#122986
113年 · #122986
112年 - 112 國立臺灣大學_碩士班招生考試題:微積分(D)#130254
112年 · #130254
112年 - 112 國立陽明交通大學_碩士班入學招生試題_統計學研究所﹕微積分與線性代數#130252
112年 · #130252
112年 - 112 國立嘉義大學_轉學生招生考試試題:微積分#123297
112年 · #123297