阿摩線上測驗 登入

申論題資訊

試卷:102年 - 102 國立中山大學_碩士班招生考試_電機系(乙組):工程數學乙#110521
科目:中山◆電機◆工程數學乙
年份:102年
排序:0

題組內容

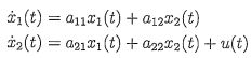
6. (20%) Consider the following system of differential equations:
630c2f37ce34e.jpg where 630c2f56dbe98.jpg are constant coefficients.

申論題內容

(b) (10%) Let the initial conditions be equal to zero. For the values630c2fd2b9e20.jpg1 = 0,630c2fe8e5beb.jpg = -1, and 630c3009c2072.jpg calculate the response y(t) = 2x1(t) - x2(t). Determine at what time the peak value of y occurs.