所屬科目:中山◆電機◆工程數學乙
1. (7%) Find the Laurent series representation of a function with center at z = j in the domain 1 <|z -j|< 2, j=.
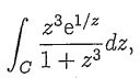
2.(8%) Evaluate the following integral: where C denotes a counterclockwise simple closed contour |z| =3.
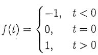
3. (15%) Compute the Fourier transformdt of a signum function f(t) detined as Each calculation step is required for obtaining the credit.
(b) (4%) If a e N, find real β and γ such that{a1, a2, a3} is a linearly dependent set.
(C) (6%) Now let a = 2,β = -1, γ = -5, and let x be a nonzero vector in the null space N(A) of A. Find the value of k to satisfy ||x||1 + 2||x||∞ + k||x||2 = 0.
(d) (6%) Nowlet a = 2,β = -1, r = -5, and let d denote the distance between vector [1 4 0]T and R(AT), the range space of AT. Compute the value of d.
(a) (3%+4%) Compute Ilxll and the angle θ, taken value in [0, π/2, between I andx.
(c) (6%) Find the vector p(x) in S that is closest to on [0, 1].
(d) (6%) Let q(x) be the vector in S⊥ that is closest to . Compute||q(x)||2.
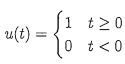
(a) (5%) Suppose u O and the equations are driven by non-zero initial conditions. Determine the conditions on the coefficients such that =0.
(b) (10%) Let the initial conditions be equal to zero. For the values1 = 0, = -1, and calculate the response y(t) = 2x1(t) - x2(t). Determine at what time the peak value of y occurs.
(c) (5%) For the values = -2, and u(t) = sin(t), calculate the steady-state response of y(t) =x1(t) - x2(t).
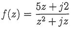
(b) (2%) Suppose the Laplace transform of a function y(t) is equal to Y(s). Then the Laplace transform of y(t - a) is equal to .