阿摩線上測驗 登入

申論題資訊

試卷:101年 - 101 國立臺灣師範大學_學士班二年級轉學生招生考試試題_企業管理學士學位學程:微積分#122161
科目:研究所、轉學考(插大)-微積分
年份:101年
排序:0

題組內容

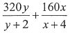
5. A manufacturer is planning to sell a new product at the price of $150 per unit and estimates that if x thousand dollars is spent on development and y thousand dollars is spent on promotion, approximately 66bd967b11d53.jpg units of the product will be sold. The cost of manufacturing the product is $50 per unit. The manufacturer has a total of $8000 to spend for development and promotion.

申論題內容

(b) What will be the largest possible profit? And, what will be the corresponding volume sold for this product?