題組內容
2. Suppose that
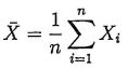
are n random variables that are drawn independently from a population that is normally distributed with a mean u and variance σ2. n is an even number. A researcher is considering three alternative estimators of the population mean p. The first estimator is:
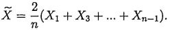
The second estimator is:
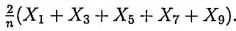
here, we assume that n is an even number and only the odd numbered X's are included in the estimator. For instance, if n = 10 and the estimator is:
=
. The third estimator is: