阿摩線上測驗
登入
首頁
>
研究所、轉學考(插大)-微積分
>
99年 - 99 國立成功大學轉學生招生考試試題_全校:微積分#114206
> 申論題
申論題
試卷:99年 - 99 國立成功大學轉學生招生考試試題_全校:微積分#114206
科目:研究所、轉學考(插大)-微積分
年份:99年
排序:0
申論題資訊
試卷:
99年 - 99 國立成功大學轉學生招生考試試題_全校:微積分#114206
科目:
研究所、轉學考(插大)-微積分
年份:
99年
排序:
0
題組內容
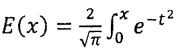
2. Define the function
dt.
申論題內容
(b)What is the domain of E(x) ? Explain your answer. (4%)