題組內容
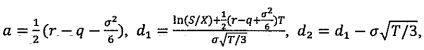
2. (30%) The formula for a geometric Asian call option with six parameters (S, X,r,q, σ,T) is as follows.
C(S,X,r,q,σ,T) =
where
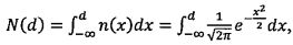
and N(●) is the cumulative distribution function of the standard normal distribution defined as
where n(●) is the probability density function of the standard normal distribution.
(d) (6%) Derive and express
ar as the form of Gn(H). What are G and H?