阿摩線上測驗
登入
首頁
>
資料結構與資料庫及資料探勘
>
104年 - 104 專技高考_資訊技師:資料結構與資料庫及資料探勘#41547
> 申論題
題組內容
一、
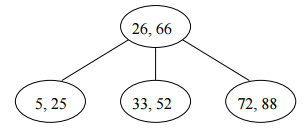
⑴下列圖形是一棵 B-tree of order 3,若陸續加入資料:99、20,會成為怎樣的 B-tree,請畫出最後的 B-tree。(5 分)
相關申論題
⑵請問 B-tree of order 3 又稱為什麼樹?(5 分) 26, 66 5, 25 33, 52 72, 88
#129239
二、堆疊(stack)可應用於後序表示式(postfix expression)的運算處理,請利用下列的 表示式,繪出堆疊內的變化來說明如何利用堆疊計算其結果,並請寫出演算法。 後序表示式:4 8 – 9 3 / *(該表示式中的數值均為個位數)。(10 分)
#129240
三、請將 18、25、6、33、9、12、55、14 依快速排序(Quick sort)由小排到大,若是 以最左的資料 18 為支柱點(pivot),請繪出 first pass(即是指將資料 18 放在正確 的位置)之排序過程。(5 分)
#129241
⑴請問什麼是最小成本擴展樹(minimum cost spanning tree)?(5 分)
#129242
⑵依據下 列的圖形,利用 Prim's algorithm 求出最小成本擴展樹 T,假設 TV 為 T 的頂點集 合,設定 TV 的初始值為 A,即 TV= {A}。請繪出最小成本擴展樹的形成過程。 (10 分) 8 12 A B C 16 23 4 25 18 D 10 F 15 E
#129243
五、資料庫管理系統一個重要的工作即是進行交易(transaction)管理,在同作控制 (concurrency control)處理中要確保交易的四項特性,簡稱為 ACID,請逐一說明 這四項性質。(15 分)
#129244
請問該資料表的主鍵(primary key)應設為該資料表的那些屬性(attribute)? 請說明你的答案。(5 分)
#129246
⑵寫出“列出平均體能分數大於 80 的科系代碼與該科系的平均體能分數”的 SQL 指令。(5 分)
#129247
⑶寫出“列出每科系的最高體能分數與科系代碼”的 SQL 指令。(5 分)
#129248
八、在資料探勘的分類方法(cluster analysis)中有一方法稱為 nearest-neighbor clustering algorithm,請說明該方法的運作原理?(10 分)
#129249
相關試卷
114年 - 114 專技高考_資訊技師:資料結構與資料庫及資料探勘#133665
114年 · #133665
113年 - 113 專技高考_資訊技師:資料結構與資料庫及資料探勘#123889
113年 · #123889
112年 - 112 專技高考_資訊技師:資料結構與資料庫及資料探勘#117644
112年 · #117644
111年 - 111 專技高考_資訊技師:資料結構與資料庫及資料探勘#111964
111年 · #111964
110年 - 110 專技高考_資訊技師:資料結構與資料庫及資料探勘#104174
110年 · #104174
109年 - 109 專技高考_資訊技師:資料結構與資料庫及資料探勘#93217
109年 · #93217
108年 - 108 專技高考_資訊技師:資料結構與資料庫及資料探勘#80671
108年 · #80671
107年 - 107 專技高考_資訊技師:資料結構與資料庫及資料探勘#72860
107年 · #72860
106年 - 106 專技高考_資訊技師:資料結構與資料庫及資料探勘#66523
106年 · #66523
104年 - 104 專技高考_資訊技師:資料結構與資料庫及資料探勘#41547
104年 · #41547