阿摩線上測驗
登入
首頁
>
工程數學(應用數學, 線性代數、微分方程、複變函數與機率)
>
99年 - 99 高等考試_三級_電力工程、電子工程、醫學工程:工程數學#36411
>
題組內容
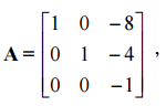
二、令矩陣
⑴求矩陣X使得D = X
-1
AX為一對角矩陣(diagonal matrix)。(7 分)
其他申論題
沒有 【段考】高二數學下學期 權限,請先開通.
#100992
沒有 【段考】高二數學下學期 權限,請先開通.
#100993
【已刪除】一、試利用拉氏轉換(Laplace transformation)求解:(15 分)
#100994
【已刪除】一、設曲線 c 之參數表示式為 x = √3t,y = sint,z = cost 求自(0,0,1)到( √3π ,0,−1)之線 積分 。(10 分)
#100995
⑵求A100 + 2A101。(8 分)
#100997
【已刪除】三、試將函數在 1<|z|<2 的範圍內,以勞倫茲級數(Laurent series) 展開表示之。(10 分)
#100998
沒有 【段考】高一數學下學期 權限,請先開通.
#100999
沒有 【段考】高一數學下學期 權限,請先開通.
#101000
沒有 【段考】高一數學下學期 權限,請先開通.
#101001
沒有 【段考】高一數學下學期 權限,請先開通.
#101002