阿摩線上測驗
登入
首頁
>
工程數學(應用數學, 線性代數、微分方程、複變函數與機率)
> 99年 - 99 高等考試_三級_電力工程、電子工程、醫學工程:工程數學#36411
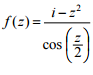
99年 - 99 高等考試_三級_電力工程、電子工程、醫學工程:工程數學#36411
科目:
工程數學(應用數學, 線性代數、微分方程、複變函數與機率) |
年份:
99年 |
選擇題數:
20 |
申論題數:
5
試卷資訊
所屬科目:
工程數學(應用數學, 線性代數、微分方程、複變函數與機率)
選擇題 (20)
1 試問
之解為何? (A) 0 (B) π/6 (C) π/3 (D) π/2
2 下列何者為微分方程式 y′′ + 4y = 8x
2
的一般解?以下選項中的 A、B 為任意常數。
(A)y=Acos2x+Bsin2x+2x
2
(B)y=Acos2x+Bsin2x+2x
2 -1
(C)y=Acos2x+Bsin2x+4x
2
(D)y=Acos2x+Bsin2x+4x
2 +1
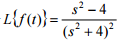
3 函數 f(t)之拉氏轉換(Laplace transformation)為 L{f (t)},令
,則 f(t)可能為何? (A) tsin(2t) (B)te
−2t
sin(2t) (C)t cos(2t) (D) te
−2 t
cos(3t )
4 設微分方程式 y′′ + ay′ + by = 0 , y(0) = y
0
, y′(0) = y′
0
的解y(t) 的拉氏轉換為
,試求常數a、b 、y
0
及 y′
0
之值,並判定下列何者正確?
(A) a + b + y
0
+ y ′
0
= 0
(B) a + b + y0 + y′
0
= −1
(C) a + b + y0 + y′
0
= −2
(D) a + b + y0 + y′
0
= −3
5 對於此微分方程式 x
2
y′′ − 3xy′ + 3y = 2x
4
e
x
,下列何者錯誤? (A)其解含有x
3
項 (B)其解含有xe
x
項 (C)其解含有x
2
e
x
項 (D)其解含有x
2
e
2x
項
6 複變函數
在 z = π 的留數(residue)為何?其中i = √−1 (A)π
2
− i (B) 2(π
2
− i) (C)i − π
2
(D) 2(i − π
2
)
7 假設一複變函數 f (z) = x
2
− y
2
− 2y + i(2x − 2xy),令複數 z = x + iy ,而其共軛複數為
,試問此複 變函數可以下列何種形式表示? (A) z
2
+ 2iz
8 假設一複變函數
,試問當 z 趨近於零時, f (z) 之極限值(limit)為何? (A) 0 (B) 1 (C)-1 (D)不存在
9 若 v = x
2
yi − z
3
j + 2k ,∇
2
v 等於: (A) 2yi + 6zj (B) 2yi − 6zj (C) − 2yi + 6zj (D) − 2yi − 6zj
10 若 A,B,C,D 之座標分別為(-1,2,2),(0,1,1),(-4,6,8),(-3,-2,4),則以
為三邊之平行 六面體的體積為: (A) √12 (B) 12 (C) √18 (D) 18
11 讓ϕ(x, y,z) = xy − yz + xyz ,其在點 P = (0,−1,1) 最陡變化方向(gradient)為何?
(A)2i − j + k
(B) i + 2j − k
(C) 2i + j − k
(D) − 2i − j+ k
12 若矩陣
及
,求A
6
-3A
5
-4A
4
+13A
3
-3A
2
-3A+13I
(A) A
2
+A+I
(B) A+I
(C) A
2
+2A+i
(D)A
2
+A
13 令矩陣
,則下列敘述何者錯誤?
(A)矩陣 A 的行列式值(determinant)為 6
(B)矩陣 A 有三個互異的特徵值,且其和為 6
(C)矩陣 A 為不可對角化(not diagonalizable)
(D)矩陣 A 的各個特徵向量互為線性獨立(linearly independent)
14 令矩陣
,且已知(a-d)
2
+4bc>0 ,則下列敘述何者不恆真?
(A)矩陣 A 為可對角化(diagonalizable)
(B)矩陣 A 的各個特徵向量(eigenvector)互為線性獨立(linearly independent)
(C)矩陣 A 有二個相異的特徵值(eigenvalue),且其和為 a+d
(D)矩陣 A 有二個相異的特徵值(eigenvalue),且其積為 ad+ bc
15 若矩陣 A 之特徵值(eigenvalue)為 0,-1,-2,令 I 表示單位矩陣,則 A(A + I)(A + 2I) 之特徵值為何? (A) 0,0,0 (B) 0,-1,-2 (C) 0,1,2 (D) 1,2,3
16 若A、B、X均為非奇異方陣(non-singular matrix),且A
-1
( BX )
-1
= (A
-1
B
3
)
2
,則X =? (A)A
-4
BA
-3
(B)B
-2
AB
-3
(C)BA
-1
B
-3
(D)B
-4
AB
-3
17 兩 連 續 隨 機 變 數 X 、 Y 之結合 機 率 密 度 函 數 ( joint probability density function ) 為
,求機率 P(X+Y>1) =? (A) 5/8(B) 3/4 (C) 4/9 (D) 5/6
18 隨機變數 X、Y 之結合機率 P(X = x, Y = y) 如下表,則下列機率何者正確?
(A)P(X<Y)=3/8 (B)P(X<Y)=2/3 (C)P(X>Y)= 1/3(D)P(X>Y)=1/2
19 離散隨機變數 X 之機率為
,則期望值(expected value) E(4X+7)為何? (A) 12 (B) 13 (C) 15 (D) 17
20 若一系統由 2 項獨立(independent)運作之組件構成,在此 2 組件皆正常運作下該系統才可正常運作,已 知此 2 項組件正常運作之機率分別為 0.8 及 0.4,試求此系統正常運作之機率: (A) 0.12 (B) 0.32 (C) 0.68 (D) 0.88
申論題 (5)
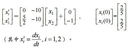
【已刪除】一、試利用拉氏轉換(Laplace transformation)求解:(15 分)
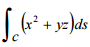
【已刪除】一、設曲線 c 之參數表示式為 x = √3t,y = sint,z = cost 求自(0,0,1)到( √3π ,0,−1)之線 積分
。(10 分)
⑴求矩陣X使得D = X
-1
AX為一對角矩陣(diagonal matrix)。(7 分)
⑵求A
100
+ 2A
101
。(8 分)
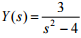
【已刪除】三、試將函數
在 1<|z|<2 的範圍內,以勞倫茲級數(Laurent series) 展開表示之。(10 分)
相關試卷
114年 - 114 專技高考_電機工程技師:工程數學(包括線性代數、微分方程、複變函數與機率)#133679
114年 · #133679
114年 - 114 專技高考_電子工程技師:工程數學(包括線性代數、微分方程、向量分析、複變函數與機率)#133677
114年 · #133677
114年 - 114 調查特種考試_三等_電子科學組:工程數學#129578
114年 · #129578
114年 - 114 國家安全情報特種考試_三等_電子組(選試英文):工程數學#127780
114年 · #127780
113年 - 113 專技高考_電子工程技師:工程數學(包括線性代數、微分方程、向量分析、複變函數與機率)#123976
113年 · #123976
113年 - 113 專技高考_電機工程技師:工程數學(包括線性代數、微分方程、複變函數與機率)#123971
113年 · #123971
113年 - 113 調查特種考試_三等_電子科學組:工程數學#122110
113年 · #122110
113年 - 113 身心障礙特種考試_三等_電力工程:工程數學#119517
113年 · #119517
112年 - 112 地方政府特種考試_三等_電力工程、電子工程:工程數學#118376
112年 · #118376
112年 - 112 專技高考_電機工程技師:工程數學(包括線性代數、微分方程、複變函數與機率)#117639
112年 · #117639