阿摩線上測驗
登入
首頁
>
電路學
>
102年 - 102 高等考試_二級_電子工程:高等電子電路學(包括類比與數位)#25525
> 申論題
申論題
試卷:102年 - 102 高等考試_二級_電子工程:高等電子電路學(包括類比與數位)#25525
科目:電路學
年份:102年
排序:0
申論題資訊
試卷:
102年 - 102 高等考試_二級_電子工程:高等電子電路學(包括類比與數位)#25525
科目:
電路學
年份:
102年
排序:
0
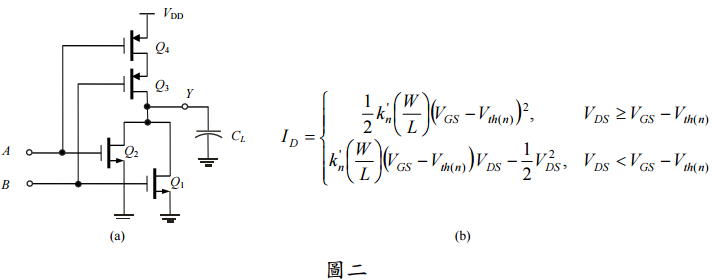
題組內容
二、圖二(a)是一個 CMOS 邏輯閘,其中 V
DD
=5 V,臨界電壓 V
th(n)
= –V
th(p)
=1 V, k
n
' =k
p
' = 0.2 mA/V
2
,負載電容 C
L
= 2 pF,各電晶體的 W/L= 1。NMOS 的電流電壓關 係式如圖二(b)。
申論題內容
⑵一個邏輯閘的下降傳遞延遲(propagation delay)t
PHL
定義為從初值下降至初值 50%所需時間,計算此邏輯閘的 t
PHL
。(請注意,t
PHL
值會受到輸入組合的影響) (10 分)