阿摩線上測驗
登入
首頁
>
通信系統
>
98年 - 098年高等三級暨普通普_電信工程#35514
> 申論題
申論題
試卷:98年 - 098年高等三級暨普通普_電信工程#35514
科目:通信系統
年份:98年
排序:0
申論題資訊
試卷:
98年 - 098年高等三級暨普通普_電信工程#35514
科目:
通信系統
年份:
98年
排序:
0
題組內容
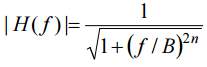
二、一個 n 階巴特渥斯(Butterworth)濾波器之頻率響應為
,其中 B 為常數。
申論題內容
⑵在什麼情況下,此巴特渥斯濾波器之特性會近似於理想低通濾波器?(8 分)