阿摩線上測驗
登入
首頁
>
機械設計
>
103年 - 103 身心障礙特種考試_三等_機械工程:機械設計#31163
> 申論題
題組內容
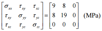
一、一均勻鋼棒其上某一點之應力張量值達到下列狀況時
, 試問在該點:
⑵對應之最大剪應力 τ
max
值為若干?(6 分)
相關申論題
⑴對應之最大主應力σ1 ,σ2及σ3值各為若干?(6 分)
#67786
⑶對應之 von Mises 應力σ ′值為若干?(8 分)
#67788
⑴一次週期破壞理論(Single cycle failure theory)(6 分)
#67789
⑵古德曼疲勞破壞理論(Goodman's fatigue failure theory)(7 分)
#67790
⑶蘇德堡疲勞破壞理論(Sodeberg's fatigue failure theory)(7 分)
#67791
⑴此處之配合係屬基孔制(Hole Basis)或基軸制(Shaft Basis)?(6 分)
#67792
⑵該軸承座之最大(Dmax )與最小(Dmin )內徑值各為若干?(7 分)
#67793
⑶該轉軸之最大( dmax )與最小(dmin)外徑值各為若干?(7 分)
#67794
五、有一鋼製長筒狀兩端封閉之圓柱形薄壁壓力容器,其外徑為 250 mm,壁厚為 5 mm, 材料之降伏強度為 200 MPa,若考量其為三維應力之狀態下,並以最大剪應力破壞 理論(maximum shear stress failure theory)作設計準則,試求在安全係數為 2.0 之情 形下,此容器所容許之最大內壓力為多少?(20 分)
#67796
2.請求出此圓盤離合器之傳動扭矩?【7 分】
#563215
相關試卷
114年 - 114 地方政府公務特種考試_三等_機械工程:機械設計#134728
114年 · #134728
114年 - 114 地方政府公務特種考試_四等_機械工程:機械設計概要#134719
114年 · #134719
114年 - 114 公務、關務升官等考試_薦任_機械工程、技術類(選試機械設計)-關務:機械設計#133265
114年 · #133265
114年 - 114 交通事業港務升資考試_員級晉高員級_技術類(選試機械設計)-港務:機械設計#133244
114年 · #133244
114年 - 114 高等考試_二級_機械工程:機械設計學#131583
114年 · #131583
114年 - 114 原住民族特種考試_四等_機械工程:機械設計概要#130917
114年 · #130917
114年 - 114 高等考試_三級_機械工程:機械設計#128741
114年 · #128741
114年 - 114 普通考試_機械工程:機械設計概要#128447
114年 · #128447
114年 - 114 身心障礙特種考試_三等_機械工程:機械設計#126646
114年 · #126646
114年 - 114 身心障礙特種考試_四等_機械工程:機械設計概要#126589
114年 · #126589