題組內容
一、ㄧ基頻通訊系統之傳送訊號表示如下
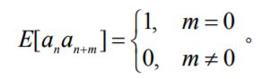
其中an ∈{+1,−1} 為傳送訊息,h(t)為基頻脈波形狀函數(pulse shaping function)。若序列an 的自相關函數(autocorrelation function)為 
⑵若
,求x(t)之功率頻譜密度?(10 分)
一、ㄧ基頻通訊系統之傳送訊號表示如下
其中an ∈{+1,−1} 為傳送訊息,h(t)為基頻脈波形狀函數(pulse shaping function)。若序列an 的自相關函數(autocorrelation function)為 
⑵若
,求x(t)之功率頻譜密度?(10 分)