所屬科目:通訊系統
(一)請決定輸出序列(output sequence)的功率頻譜(power spectrum), Φyy (ejω )。(5 分)
(二)請決定輸出序列的自相關函數,φyy [m]。(5 分)
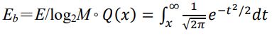
(三) 請求出此通訊系統的平均最小錯誤機率 ( average minimum error probability) 。請以 Q-函數:表示出來。 (10 分)
(四)請 用 γ、θ、及 Q-函數來表示此通訊系統的錯誤機率Pe。這裡的 γ=Eb/N0 是每位元的訊雜比(signal-to-noise ratio, SNR),且對 M 符元 / 訊號源(M-ary signaling)而言, 。 (8 分)