阿摩線上測驗
登入
首頁
>
公職 - 藥理學與藥物化學
>
96年 - 96-2 關務特種考試_三等_藥事:藥理學與藥物化學#51190
> 申論題
題組內容
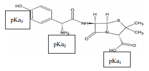
六、就以下化學結構請寫出:(8 分)
⑶抗藥性形成原因(就化學結構觀點說明)
相關申論題
一、請敘述 Benzodiazepines 之藥理作用,(6 分)並依長效、中效、短效各列舉一藥名。 (6 分)
#183118
二、請列舉五種不同作用機轉之降血壓藥物,(10 分)並各列舉一藥名。(10 分)
#183119
三、請寫出五種不同作用機轉之抗癌藥,(10 分)並各列舉一藥名。(10 分)
#183120
四、試述 Aspirin 之副作用,(6 分)並分別說明副作用形成原因。(6 分)
#183121
五、請列舉二種葉酸拮抗劑,(4 分)並分別說明其用途。(4 分)
#183122
⑴藥名
#183123
⑵臨床用途
#183130
⑷在人體 pH 7.4 狀況下三個 pKa 值大小順序
#183132
七、請畫出 Chloral hydrate 及其 phase I 代謝產物之化學結構式,(4 分)並說明其臨床 用途。(2 分)
#183124
八、請寫出嗎啡之化學結構特性。(6 分)
#183125
相關試卷
106年 - 106 關務特種考試_三等_藥事:藥理學與藥物化學#61456
106年 · #61456
105年 - 105 高等考試_三級_藥事:藥理學與藥物化學#54256
105年 · #54256
105年 - 105 關務特種考試_三等_藥事:藥理學與藥物化學#50114
105年 · #50114
104年 - 104 高等考試_三級_藥事:藥理學與藥物化學#42688
104年 · #42688
104年 - 104 公務升官等考試_簡任_藥事:藥理學與藥物化學研究#41961
104年 · #41961
104年 - 104 公務升官等考試_薦任_藥事:藥理學與藥物化學#41117
104年 · #41117
104年 - 104 關務特種考試_三等_藥事:藥理學與藥物化學#22674
104年 · #22674
103年 - 103 關務特種考試_三等_藥事:藥理學與藥物化學(重複)#44001
103年 · #44001
103年 - 103 高等考試_三級_藥事:藥理學與藥物化學#43442
103年 · #43442
103年 - 103 關務特種考試_三等_藥事:藥理學與藥物化學#15776
103年 · #15776