阿摩線上測驗
登入
首頁
>
技師◆化工熱力學
>
99年 - 99 專技高考_化學工程技師:化工熱力學#27642
> 申論題
題組內容
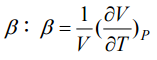
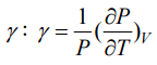
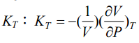
一、一般物質之熱力相關係數的定義如下:
熱膨脹係數(Thermal expansion coefficient)
等溫壓縮係數(Isothermal compressibility coefficient)
熱壓係數(Thermal pressure coefficient)
證明下列關係式:
⑶ 當 300 K 金屬銅具有下列數值: β =50.4 (10)
−6
(K
-1
); K
T
=0.778(10)
-6
(bar
-1
); V=7.06(10)
-6
(m
3
mol
-1
); C
P
=24.50(mol-1 K
-1
),問 300 K 之 C
V
值多少?如果 1 bar=10
5
Pascal; 1 Joule =1 Pa (m
3
) (10 分)
相關申論題
⑴列出所有獨立變數(含未知欲求者, 如 x L i , y V i , x S i , V, L, S,等);
#50269
⑵共有多少個獨立質量平衡方程式及相平衡方程式;
#50270
⑶並試以相平衡的方法(氣液相平衡以逸壓係數,φi的狀態方程式模式為主,液固 相平衡以活性係數,γi 的熱力分子模式為主),寫出所有方程式以求解此三成份三 相混合溶液中未知變數的方法。
#50271
⑷甲烷(CH4)在 1 大氣壓 1000 K 下的燃燒二氧化碳排。
#557233
⑶碳(C)在 1 大氣壓 1000 K 下的燃燒二氧化碳排。
#557232
⑵甲烷(CH4)在 1 大氣壓 1000 K 下的燃燒熱。
#557231
⑴ 碳(C)在 1 大氣壓 1000 K 下的燃燒熱。
#557230
⑷80℃、70 kPa 下,含苯莫耳分率x1 = 0.3的流體為液相、氣相或汽液共存。
#557229
⑶若總壓力為 70 kPa,計算平衡時的液相組成 x1及氣相組成y1 。
#557228
⑵計算相應的氣相中苯的莫耳分y1 。
#557227
相關試卷
114年 - 114 專技高考_化學工程技師:化工熱力學#133634
114年 · #133634
113年 - 113 專技高考_化學工程技師:化工熱力學#123950
113年 · #123950
112年 - 112 專技高考_化學工程技師:化工熱力學#117618
112年 · #117618
111年 - 111 專技高考_化學工程技師:化工熱力學#111969
111年 · #111969
111年 - 111 高等考試_二級_化學工程:高等化工熱力學#110966
111年 · #110966
110年 - 110 專技高考_化學工程技師:化工熱力學#104162
110年 · #104162
109年 - 109 專技高考_化學工程技師:化工熱力學#93195
109年 · #93195
108年 - 108 專技高考_化學工程技師:化工熱力學#80730
108年 · #80730
107年 - 107 專技高考_化學工程技師:化工熱力學#72934
107年 · #72934
106年 - 106 專技高考_化學工程技師:化工熱力學#66577
106年 · #66577